当前位置:
首页
>
政府信息公开
>
法定主动公开内容
>
人事信息
>
招录考信息
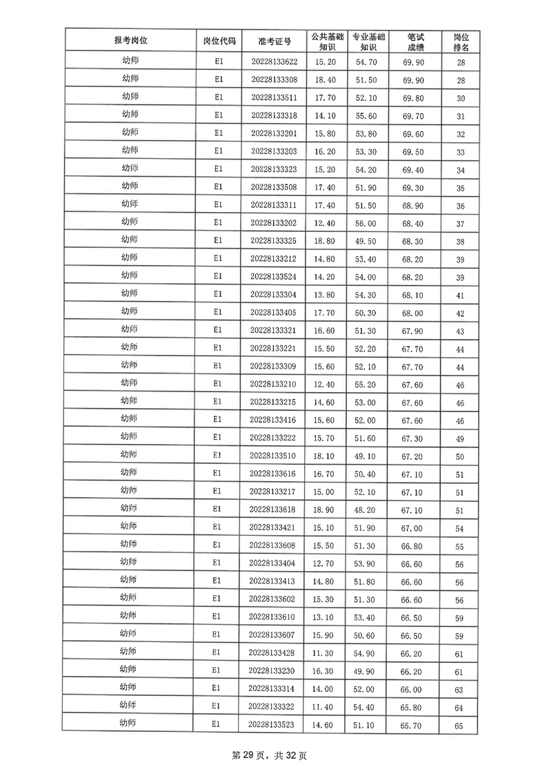
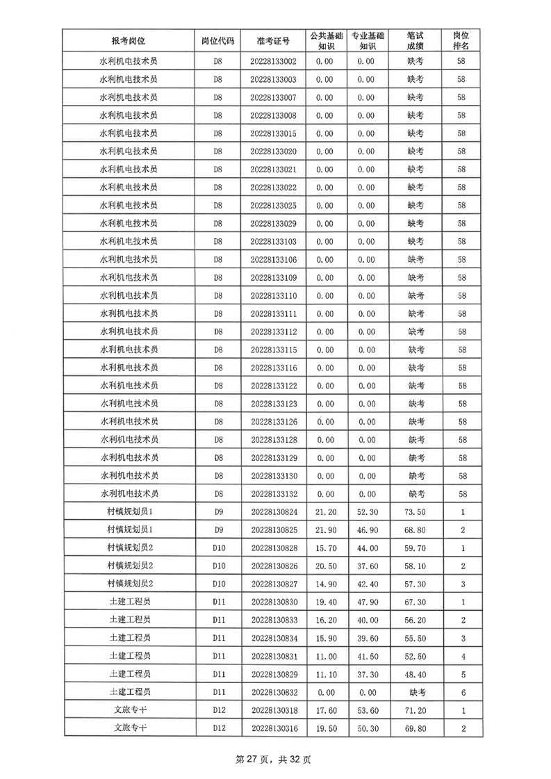
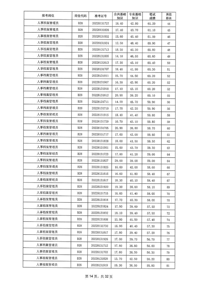
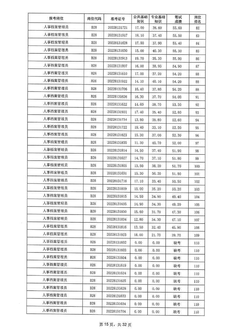
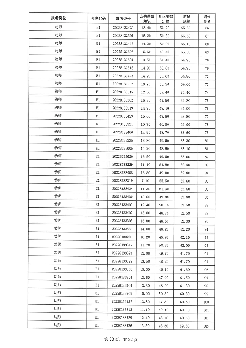
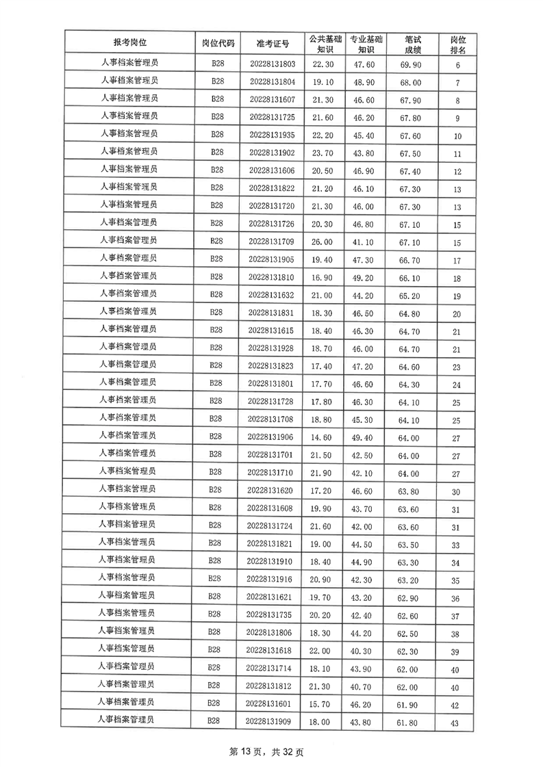
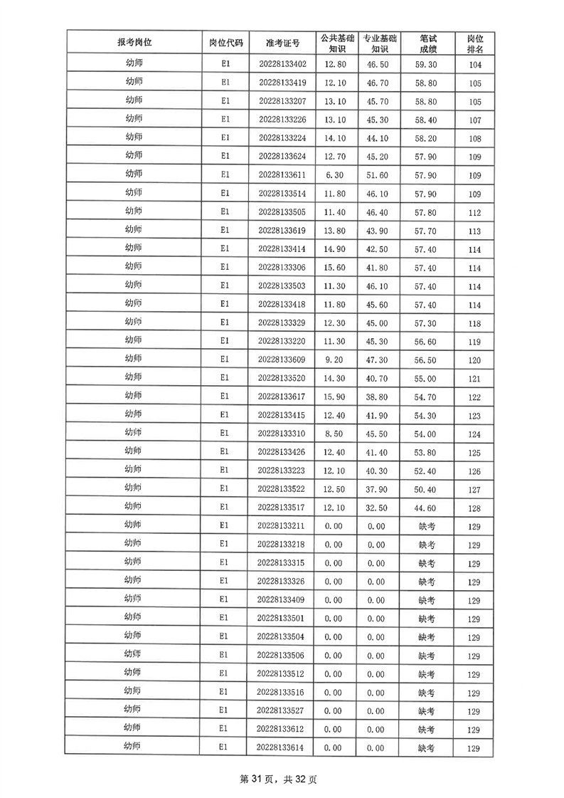
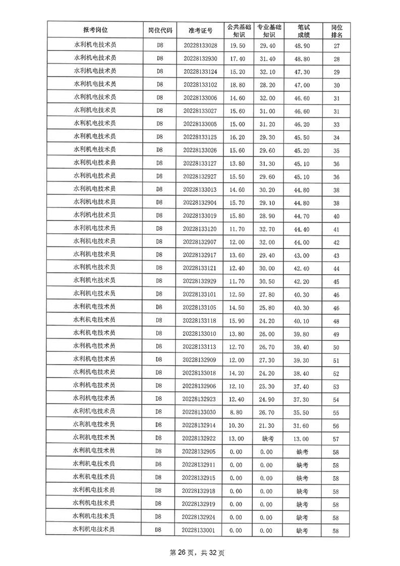
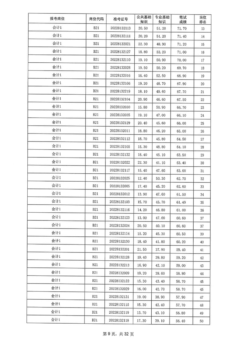
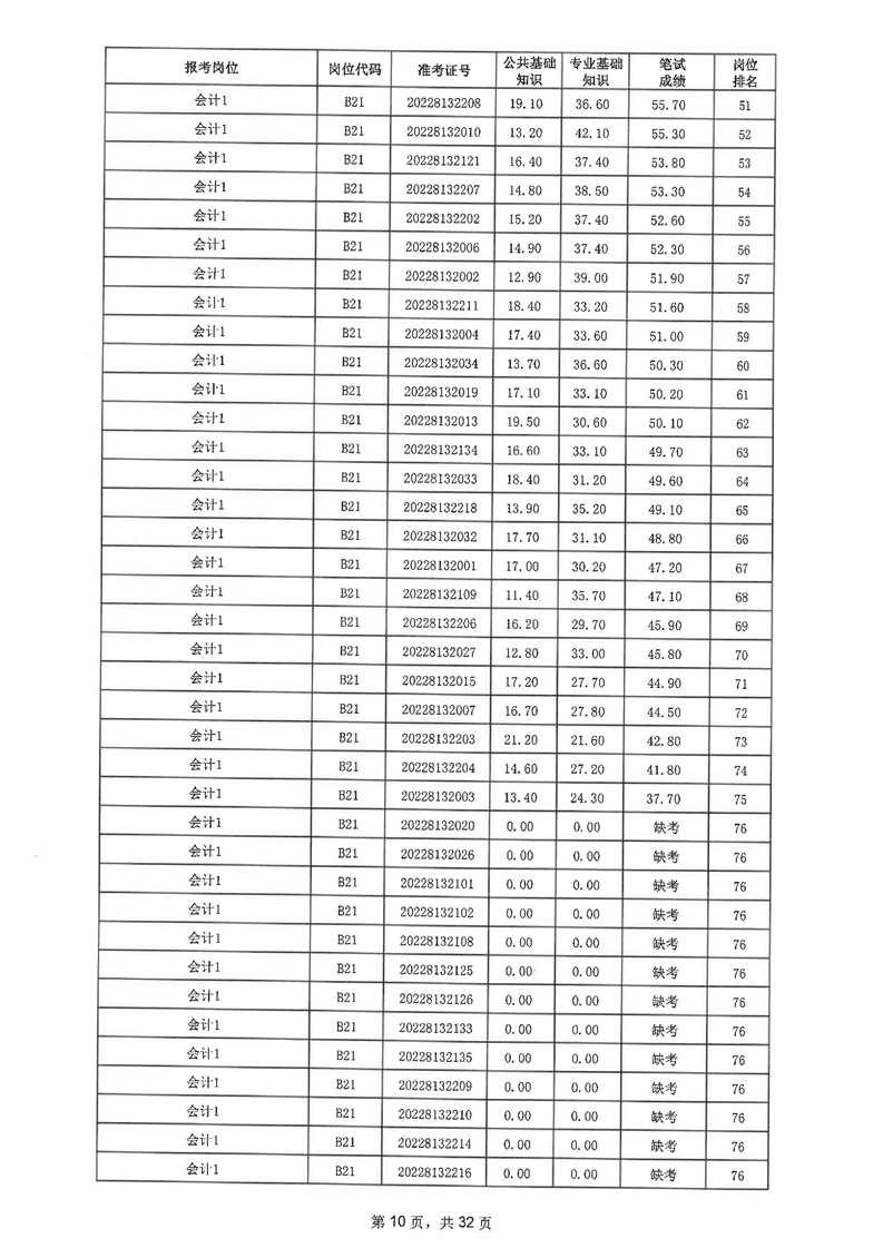
华容县2022年事业单位公开招聘笔试成绩及最低合格分数线公示
来源:县人社局
2022-08-16 17:16
浏览量:
1
|
|
|
|
扫一扫在手机打开当前页