当前位置:
首页
>
政府信息公开
>
法定主动公开内容
>
人事信息
>
招录考信息
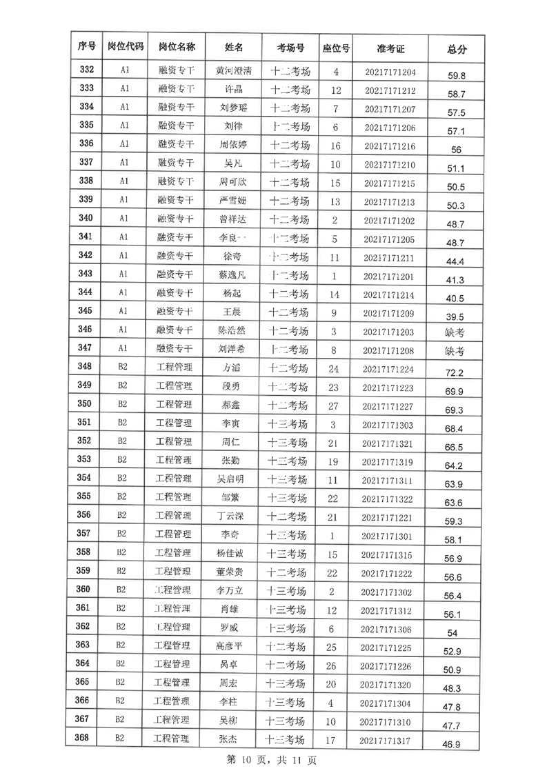
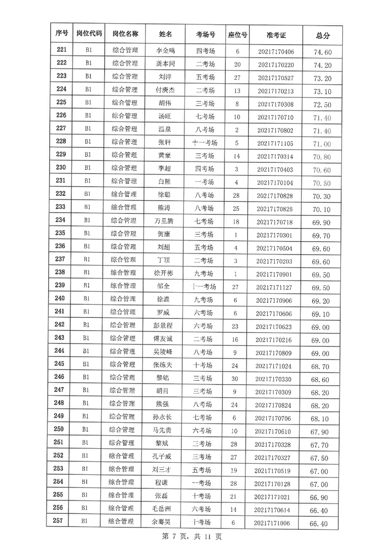
华容县2021年公开招聘国有企业职员笔试最低合格分数及总成绩公示
来源:县人社局
2021-07-19 17:35
浏览量:
1
|
|
|
|
扫一扫在手机打开当前页