当前位置:
首页
>
政府信息公开
>
法定主动公开内容
>
人事信息
>
招录考信息
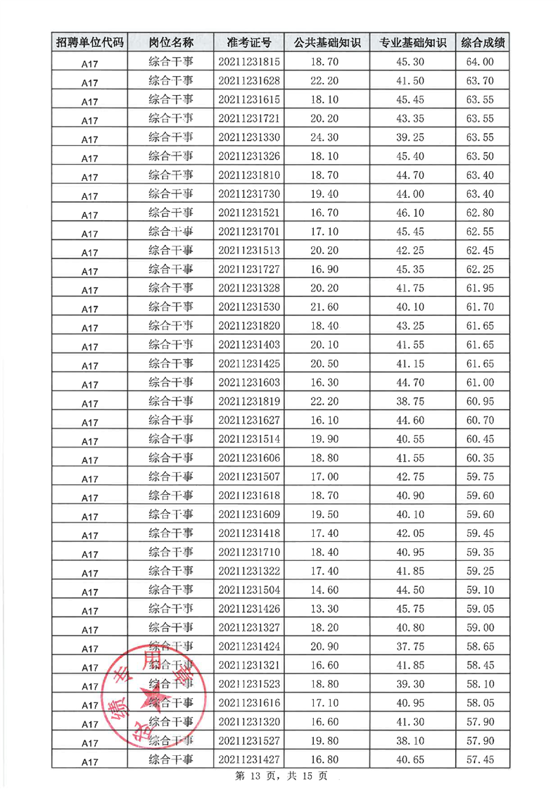
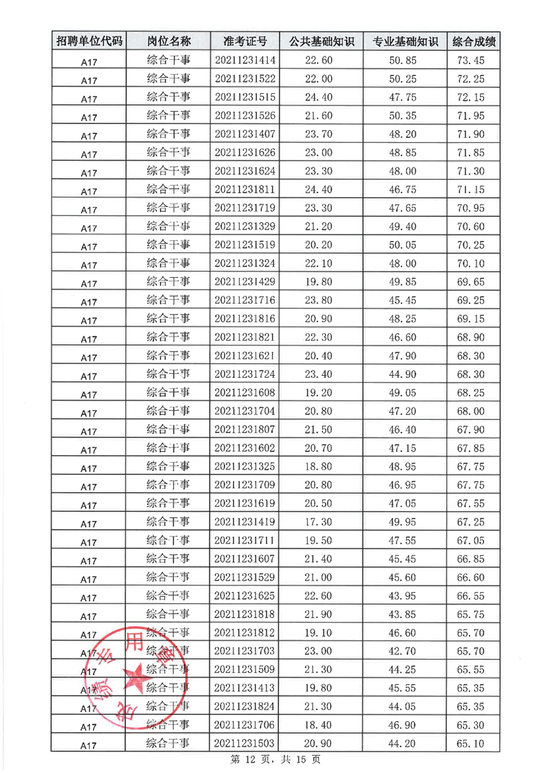
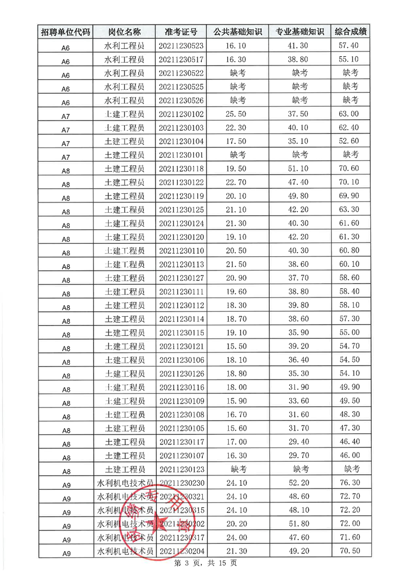
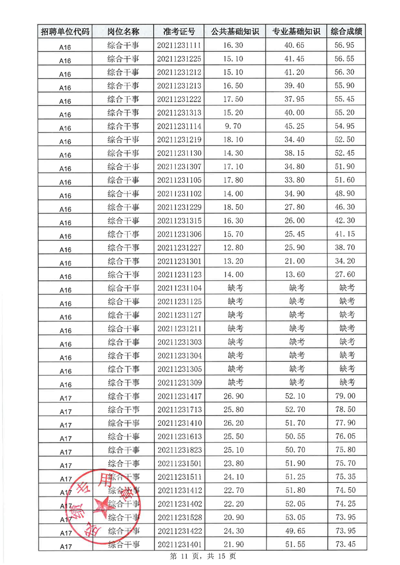
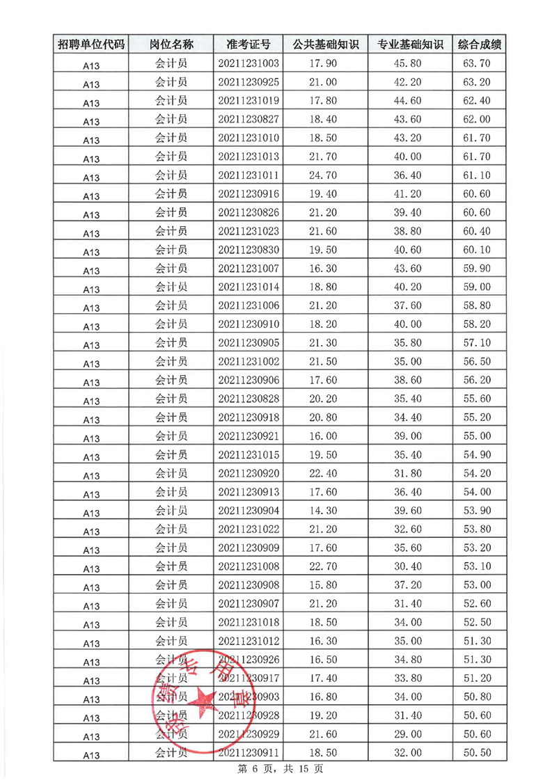
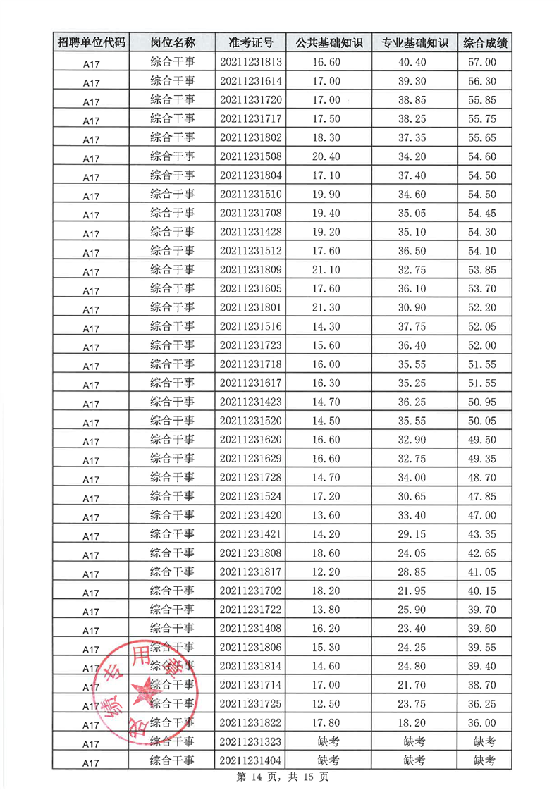
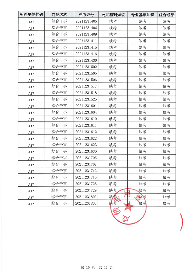
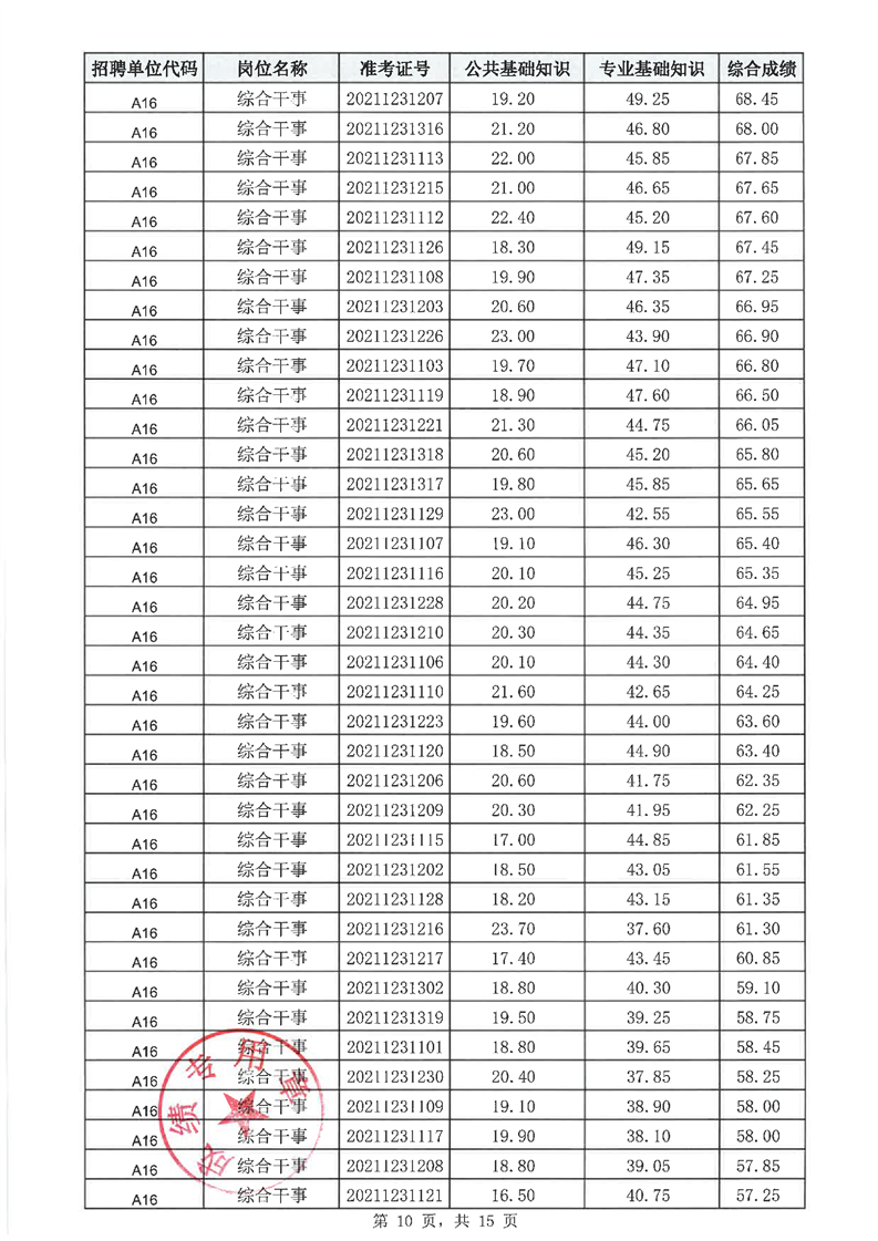
华容县2021年乡镇事业单位公开招聘工作人员笔试成绩
来源:县人社局
2021-01-26 10:10
浏览量:
1
|
|
|
|
扫一扫在手机打开当前页