归档时间:
当前位置:
首页
>
政府信息公开
>
部门信息公开目录
>
政府工作部门
>
县乡村振兴局
>
资金信息
索引号:hrxfpb/2020-1720189
发布机构:县扶贫办
公开范围:全部公开
生成日期:2020-05-07
公开日期:2020-05-07
公开方式:政府网站
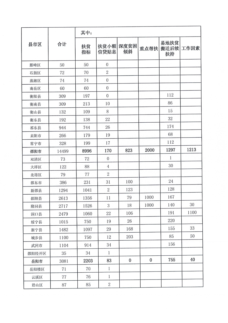
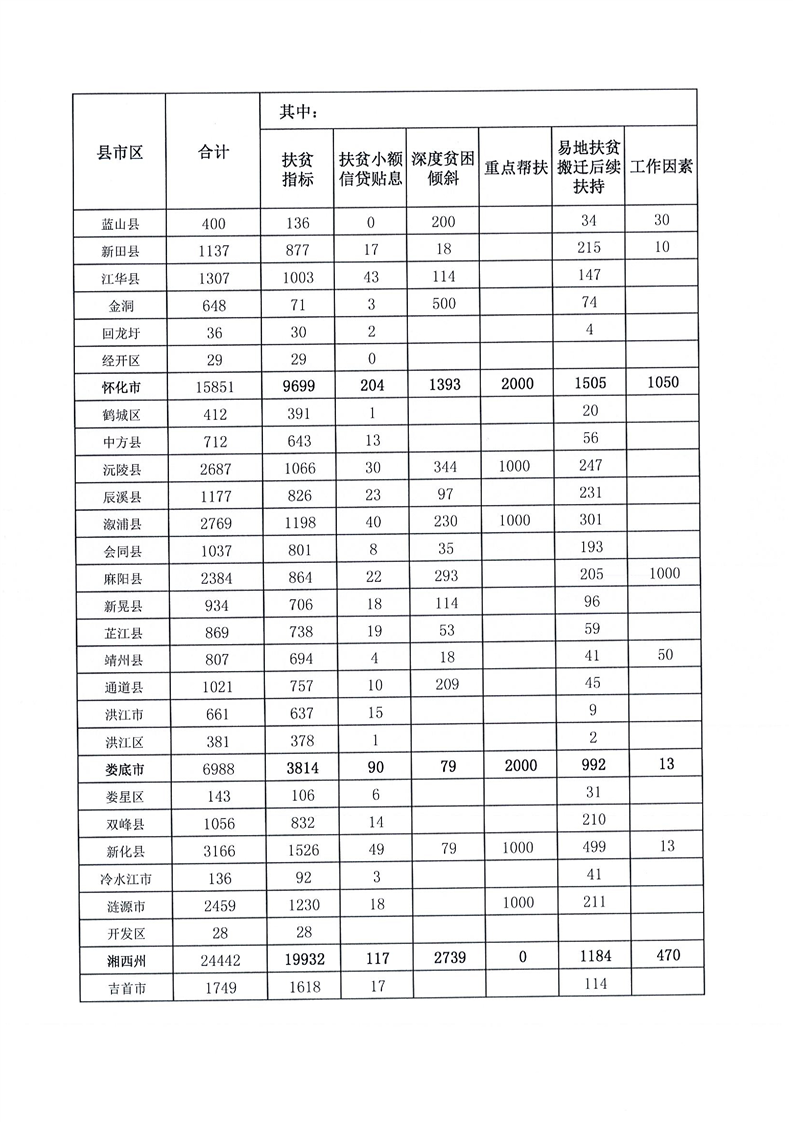
关于下达2020年中央第二批财政专项扶贫资金(扶贫发展)计划的通知-202万(湘扶办发〔2020〕14号)
来源:华容县扶贫办
2020-05-07 17:09
浏览量:
1
|
|
|
|
扫一扫在手机打开当前页