当前位置:
首页
>
政府信息公开
>
部门信息公开目录
>
政府工作部门
>
县市场监督管理局
>
通知公告
索引号:7328445919/2022-1926963
发布机构:县市场监督管理局
公开范围:全部公开
生成日期:2022-03-25
公开日期:2022-03-25
公开方式:政府网站
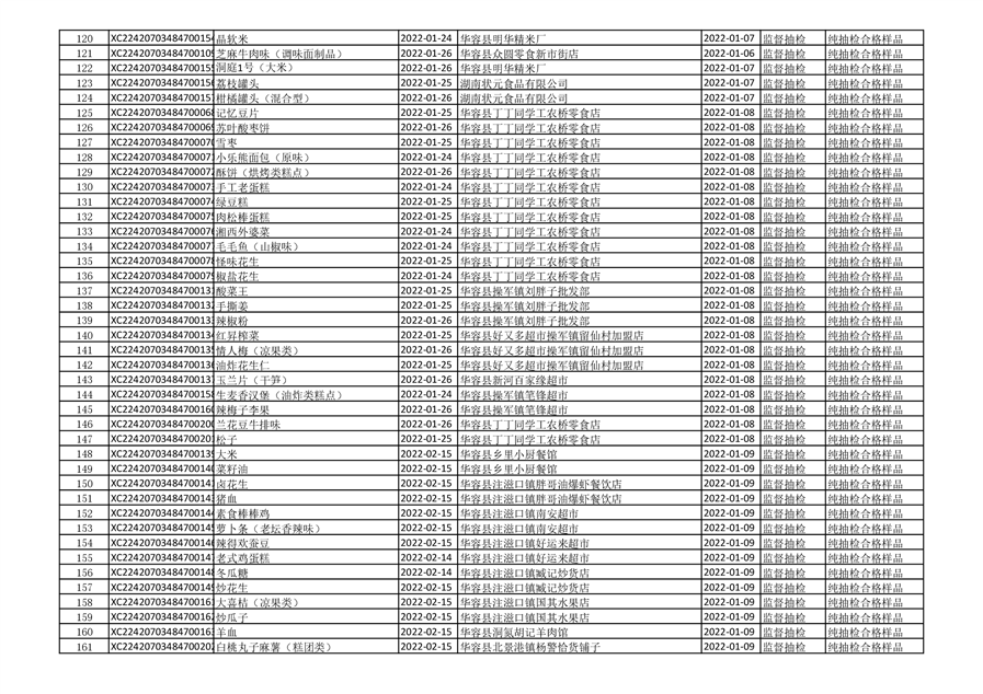
2022年华容县市场监督管理局“年关守护”抽检信息汇总(一)
来源:华容县市场监督管理局
2022-03-25 09:07
浏览量:
1
|
|
|
|
扫一扫在手机打开当前页