当前位置:
首页
>
政府信息公开
>
部门信息公开目录
>
政府工作部门
>
县市场监督管理局
>
通知公告
索引号:7328445919/2020-1772846
发布机构:县食药监局
公开范围:全部公开
生成日期:2020-12-07
公开日期:2020-12-07
公开方式:政府网站
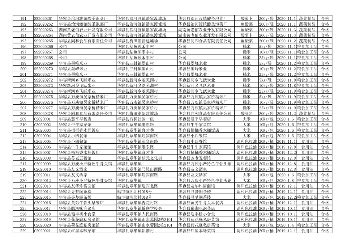
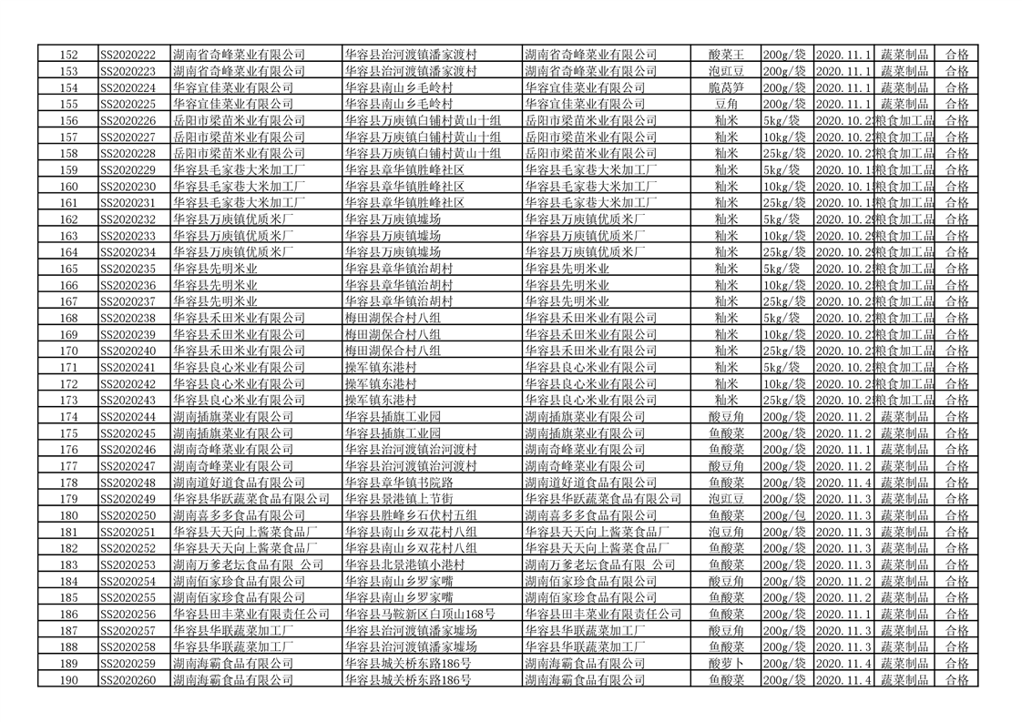
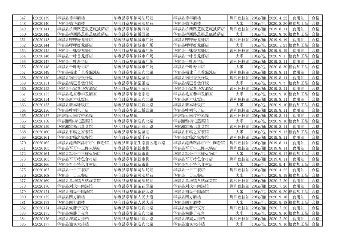
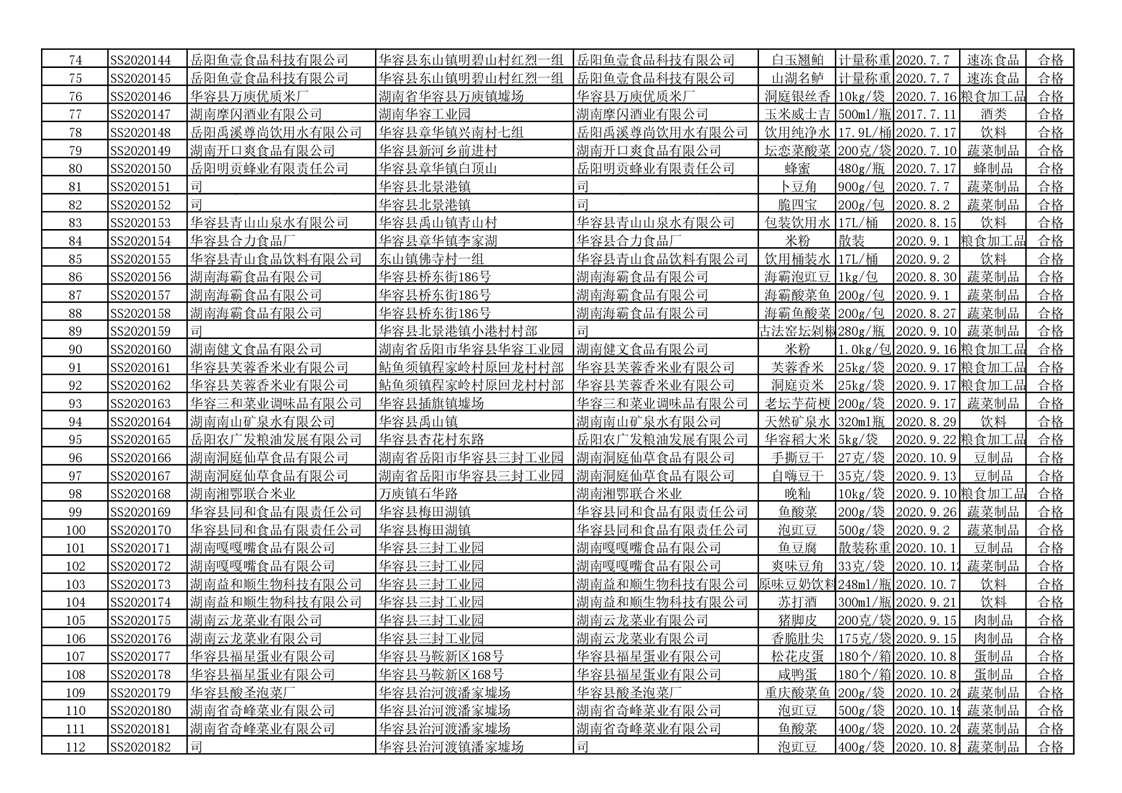
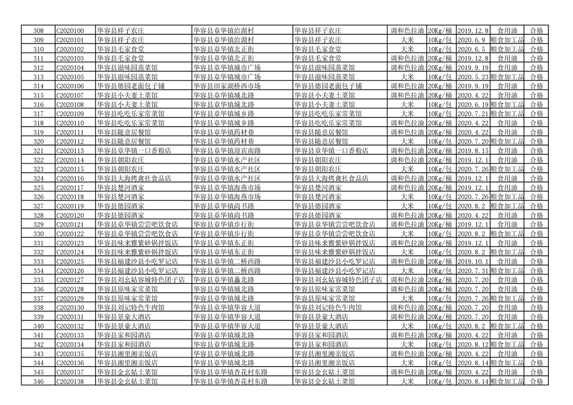
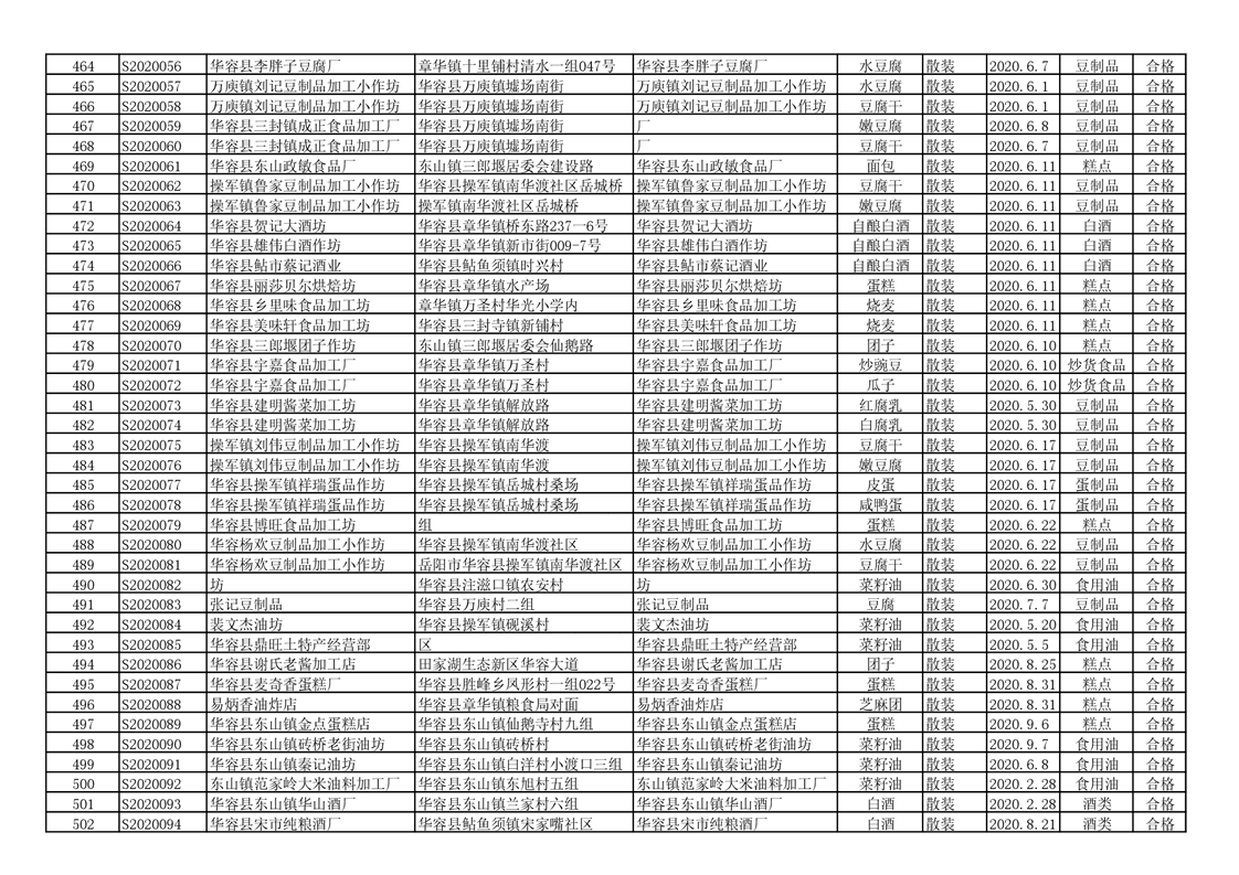
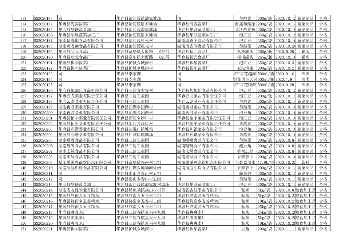
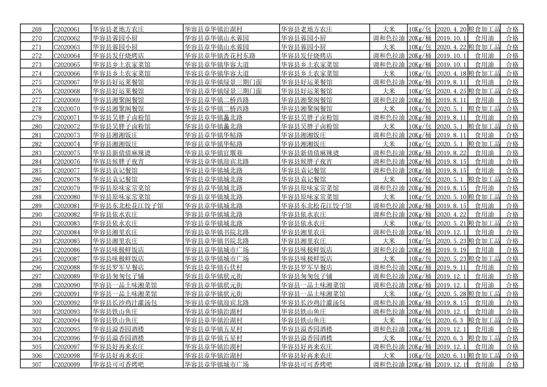
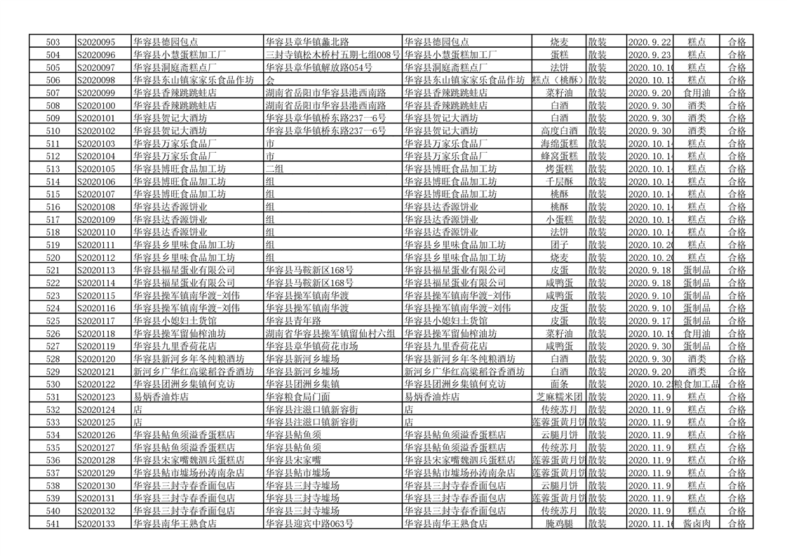
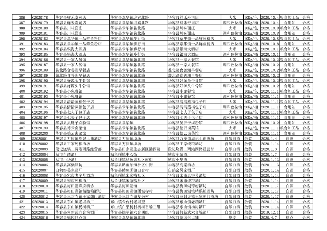
华容县食品药品检验检测所食品抽检公示(568批次)
来源:华容县市场监督管理局
2020-12-07 17:24
浏览量:
1
|
|
|
|
扫一扫在手机打开当前页