当前位置:
首页
>
政府信息公开
>
部门信息公开目录
>
政府工作部门
>
县市场监督管理局
>
通知公告
索引号:7328445919/2020-1764437
发布机构:县食药监局
公开范围:全部公开
生成日期:2020-08-28
公开日期:2020-08-28
公开方式:政府网站
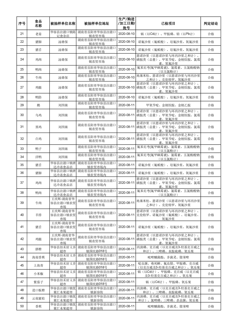
华容县市场监督管理局8月份食用农产品抽检信息公示(二)
来源:华容县市场监督管理局
2020-08-28 14:29
浏览量:
1
|
|
|
|
扫一扫在手机打开当前页