当前位置:
首页
>
政府信息公开
>
部门信息公开目录
>
政府工作部门
>
县文化旅游广电局
>
政策文件
索引号:MB0X06621Y/2022-1919636
发布机构:县文广新旅局
公开范围:全部公开
生成日期:2022-01-12
公开日期:2022-01-12
公开方式:政府网站
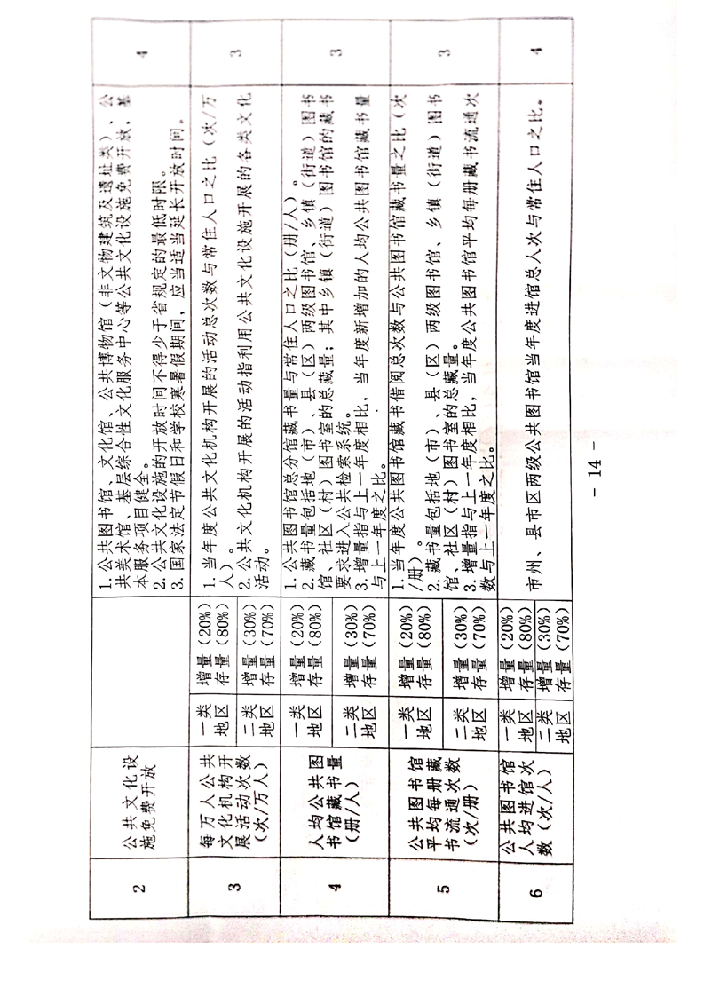
湖南省文旅厅湖南省发改委湖南省财政厅关于印发湖南省公共文化服务体系高质量发展五年行动计划(2021年-2025年)的通知(2)
来源:华容县文旅广电局
2022-01-12 16:53
浏览量:
1
|
|
|
|
扫一扫在手机打开当前页