当前位置:
首页
>
政府信息公开
>
部门信息公开目录
>
政府工作部门
>
县人力资源和社会保障局
>
通知公告
索引号:00638202XH/2025-2286265
发布机构:县人社局
公开范围:全部公开
生成日期:2025-04-17
公开日期:2025-04-17
公开方式:政府网站
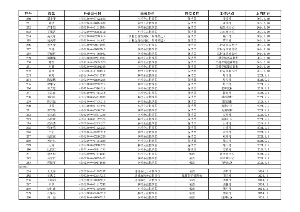
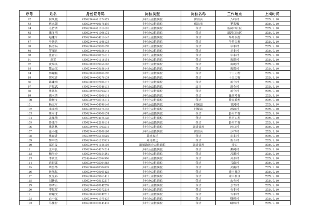
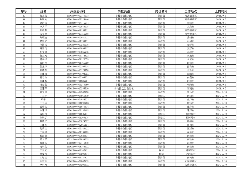
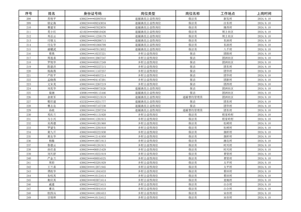
关于拨付2024年乡村公益性岗位第二批补贴的公示
来源:县人社局
2025-04-17 16:29
浏览量:
1
|
|
|
|
扫一扫在手机打开当前页