当前位置:
首页
>
政府信息公开
>
部门信息公开目录
>
政府工作部门
>
县人力资源和社会保障局
>
通知公告
索引号:00638202XH/2024-2248021
发布机构:县人社局
公开范围:全部公开
生成日期:2024-11-13
公开日期:2024-11-13
公开方式:政府网站
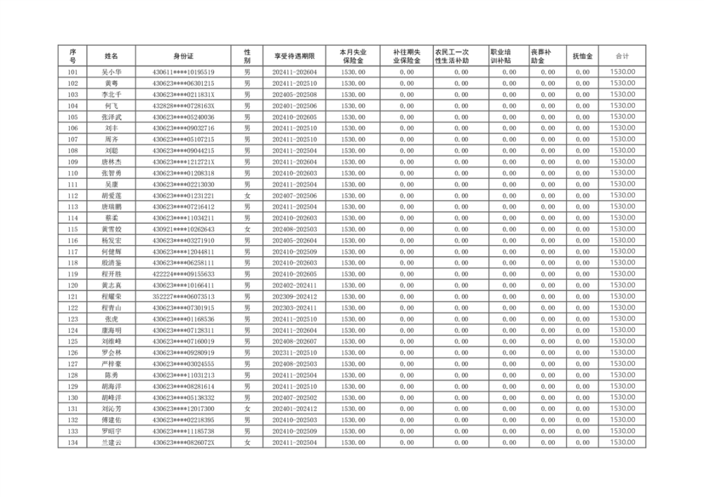
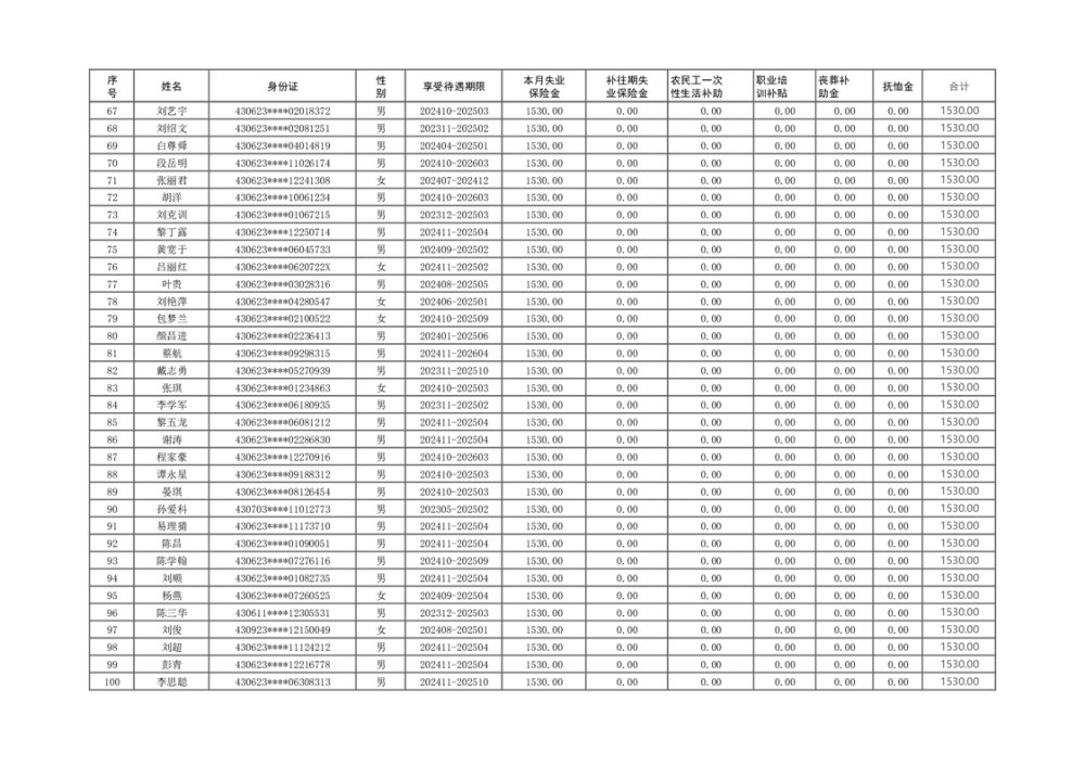
2024年11月失业保险待遇支出核定明细表
来源:县人社局
2024-11-13 16:20
浏览量:
1
|
|
|
|
扫一扫在手机打开当前页