当前位置:
首页
>
政府信息公开
>
部门信息公开目录
>
政府工作部门
>
县人力资源和社会保障局
>
通知公告
索引号:00638202XH/2023-2105901
发布机构:县人社局
公开范围:全部公开
生成日期:2023-04-03
公开日期:2023-04-03
公开方式:政府网站
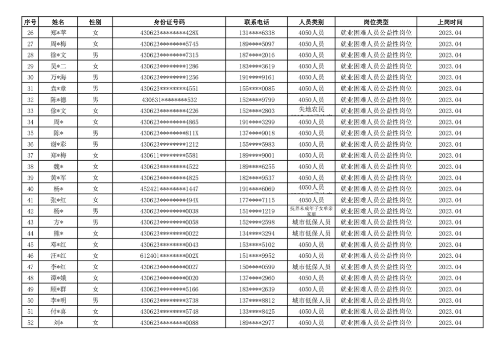
关于华容县2023年4-12月就业困难人员公益性岗位补贴的公示
来源:县人社局
2023-04-03 17:04
浏览量:
1
|
|
|
|
扫一扫在手机打开当前页