当前位置:
首页
>
政府信息公开
>
部门信息公开目录
>
政府工作部门
>
县人力资源和社会保障局
>
业务事项
索引号:00638202XH/2021-2105876
发布机构:县人社局
公开范围:全部公开
生成日期:2021-01-04
公开日期:2021-01-04
公开方式:政府网站
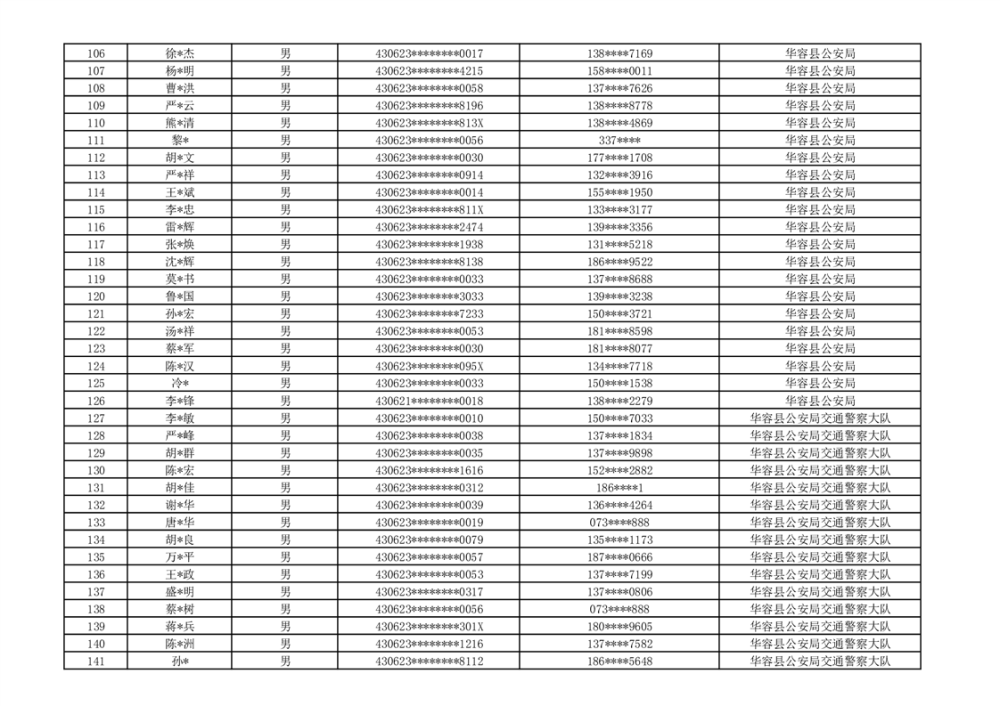
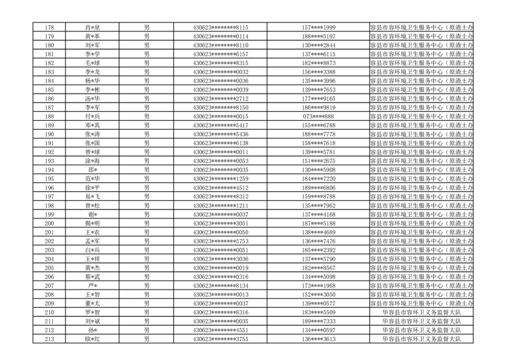
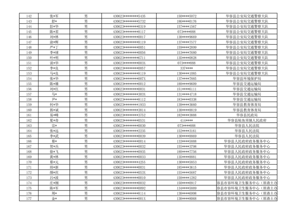
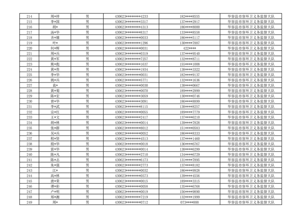
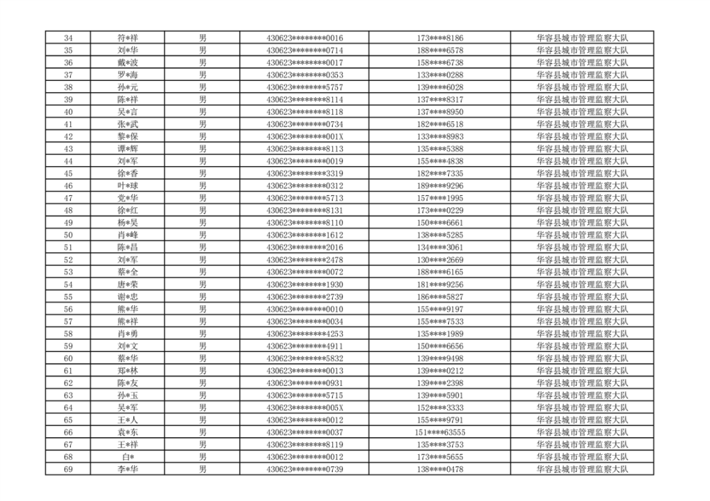
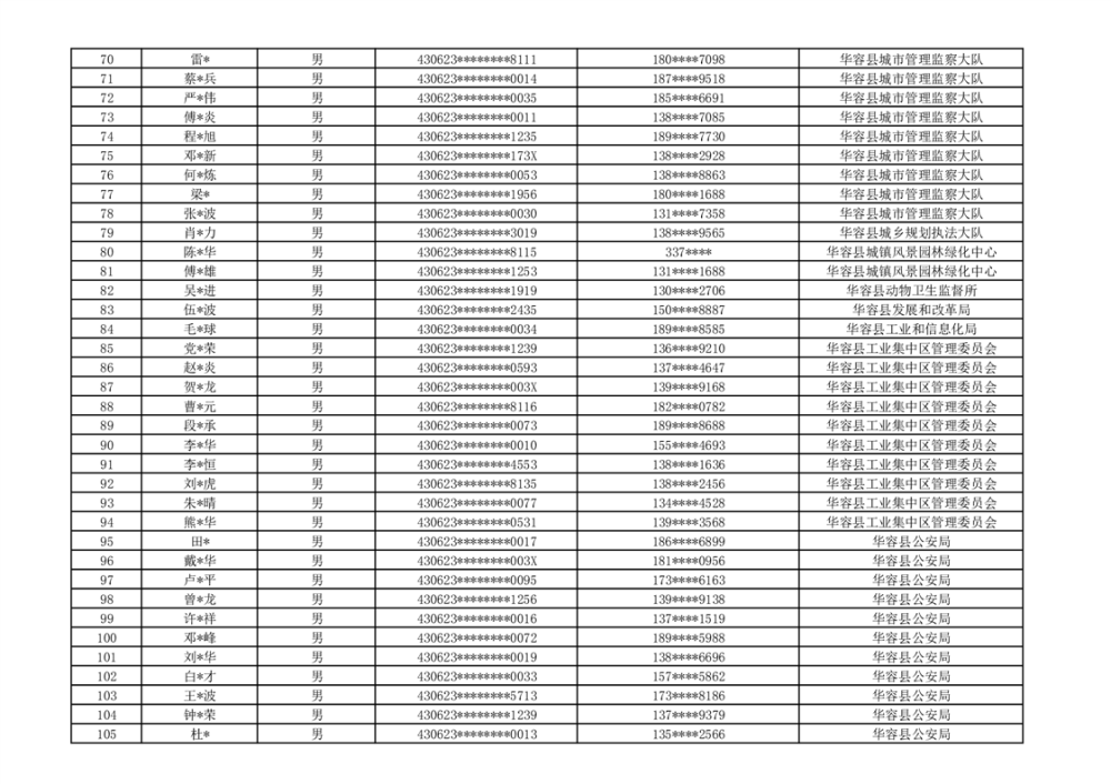
=关于华容县2021年1-6月“两参”人员公益性岗位补贴的公示
来源:县人社局
2021-01-04 16:57
浏览量:
1
|
|
|
|
扫一扫在手机打开当前页