当前位置:
首页
>
政府信息公开
>
部门信息公开目录
>
政府工作部门
>
县人力资源和社会保障局
>
业务事项
索引号:00638202XH/2023-2101524
发布机构:县人社局
公开范围:全部公开
生成日期:2023-05-22
公开日期:2023-05-22
公开方式:政府网站
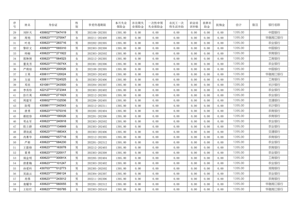
2023年5月失业保险金发放公示表
来源:县人社局
2023-05-22 13:28
浏览量:
1
|
|
|
|
扫一扫在手机打开当前页