归档时间:
当前位置:
首页
>
专题
>
2022年政务公开工作要点
>
社会稳定和民生保障
>
民生领域
>
食品药品
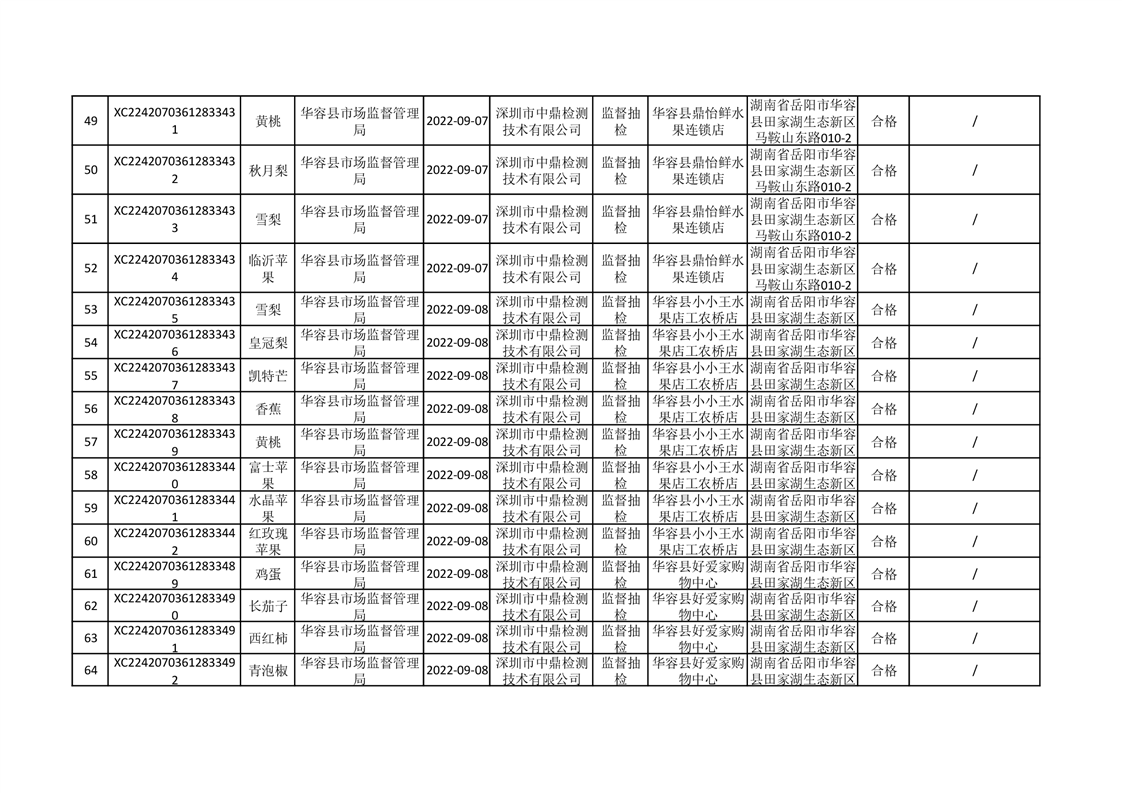
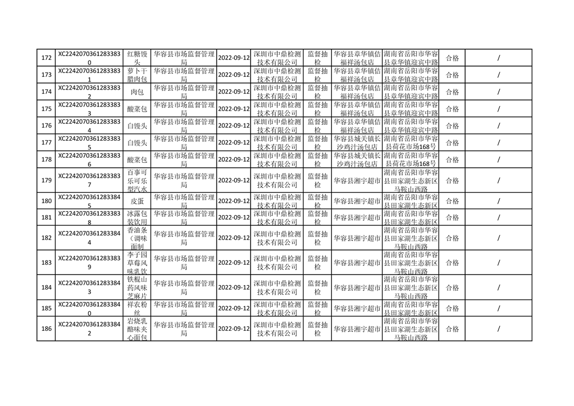
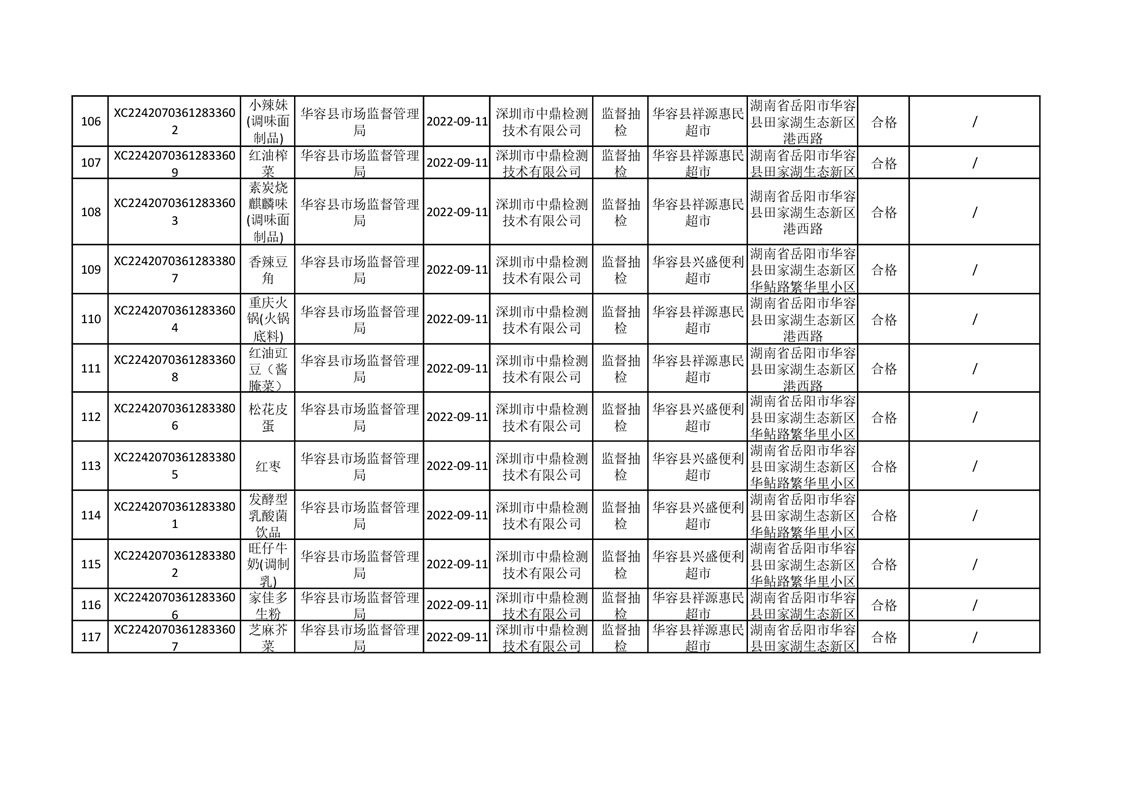
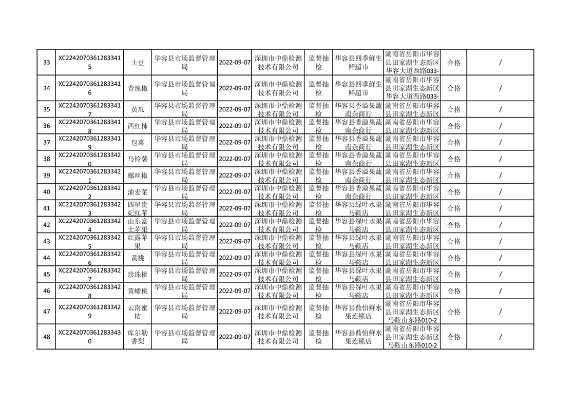
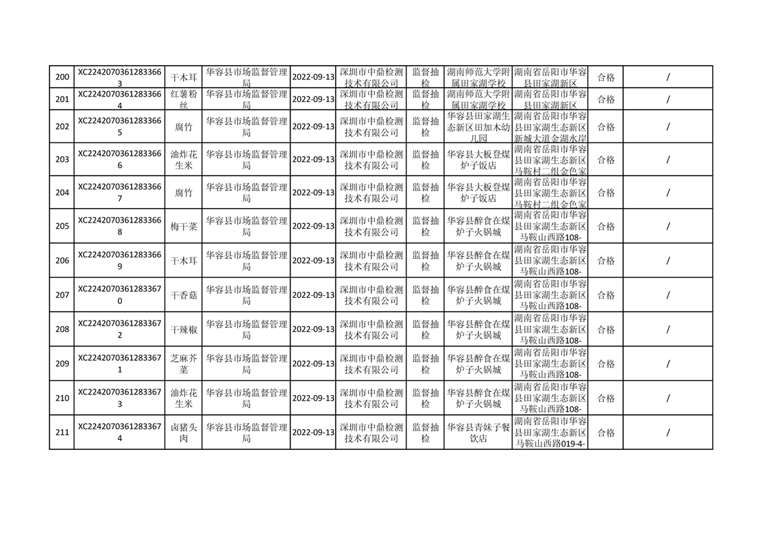
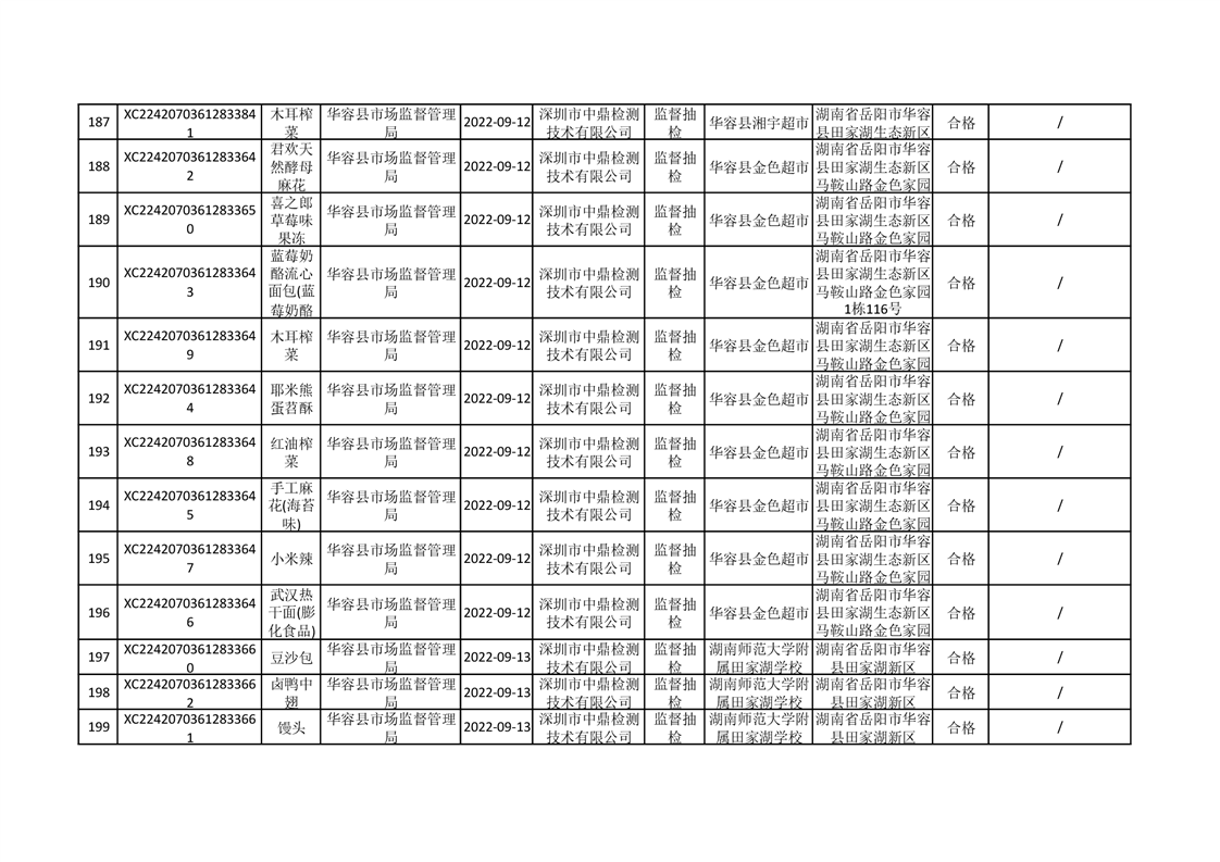
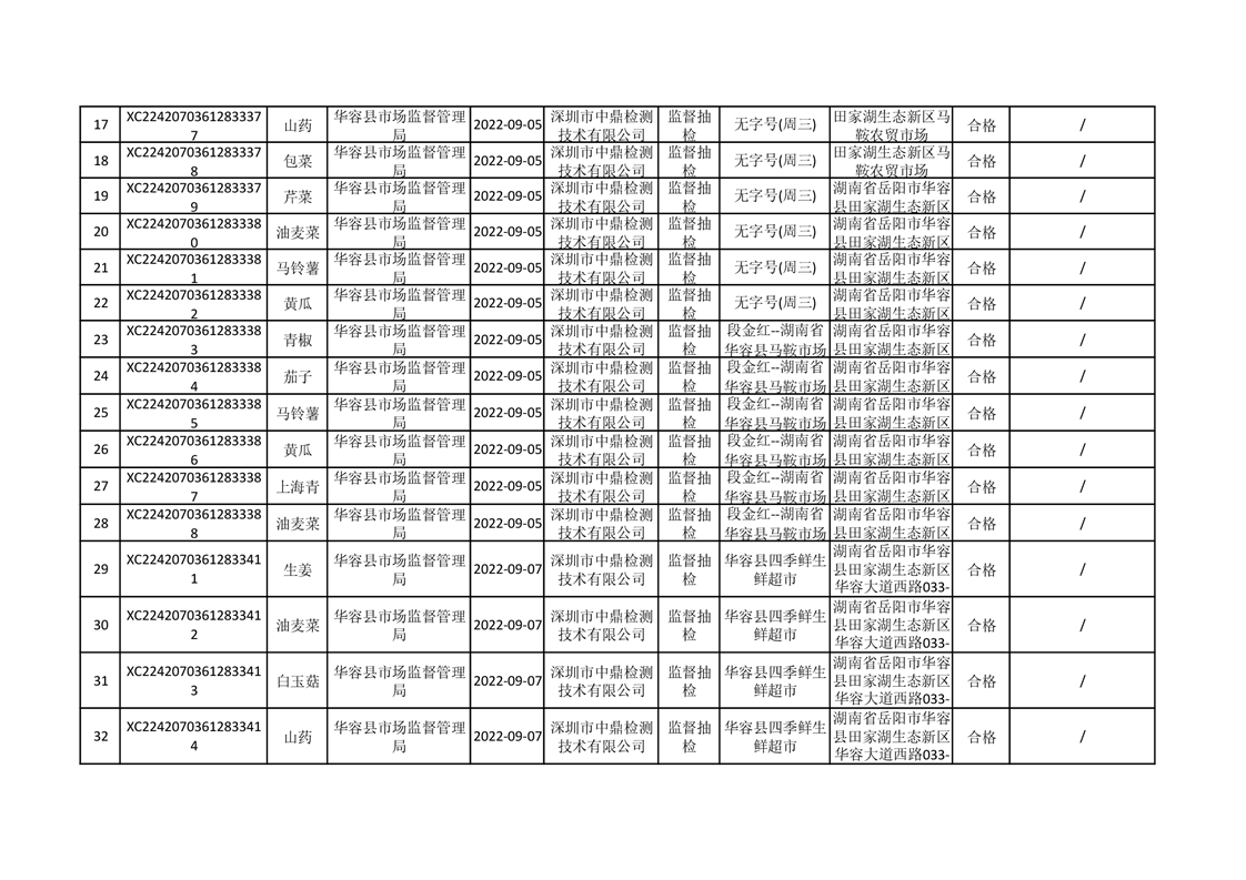
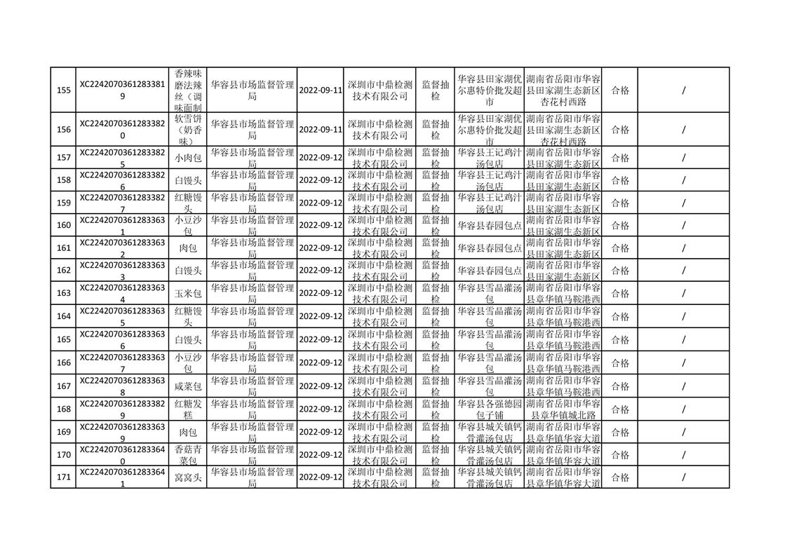
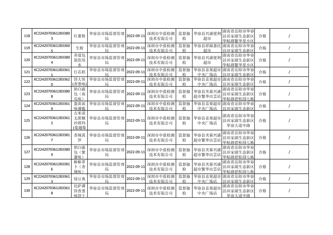
2022年华容县9月份241批食品抽检结果公示(三)
来源:华容县市场监督管理局
2022-10-19 09:57
浏览量:
1
|
|
|
|
扫一扫在手机打开当前页