当前位置:
首页
>
专题
>
清单发布专栏
>
行政执法主体(含人员)清单
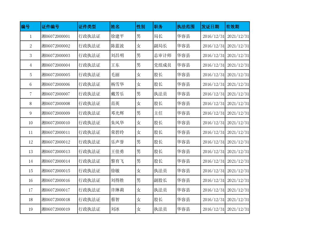
审计局执法人员信息
来源:华容县政府
2021-07-14 10:45
浏览量:
1
|
|
|
|
扫一扫在手机打开当前页