当前位置:
首页
>
政府信息公开
>
法定主动公开内容
>
通知公告
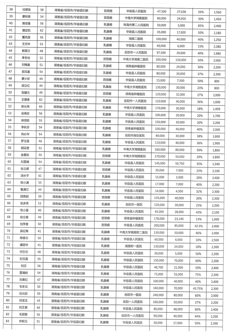
“贫困母亲两癌救助”项目申报人情况汇总信息表
来源:华容县妇联
2018-01-31 17:05
浏览量:
1
|
|
|
|
扫一扫在手机打开当前页