当前位置:
首页
>
政务公开
>
人事信息
>
招录考信息
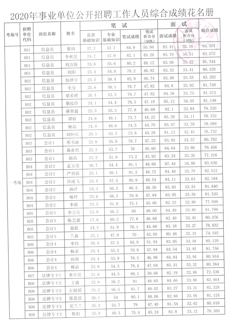
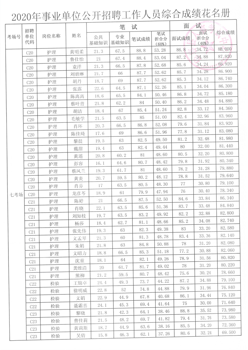
2020年事业单位公开招聘工作人员面试最低合格分数及综合成绩公示
来源: 县人社局
日期:2020-10-13 11:14
字体: 【
大
中
小
】
浏览量:
1
次
打印本页
加入收藏
关闭窗口
扫一扫在手机打开当前页
微信
手机APP